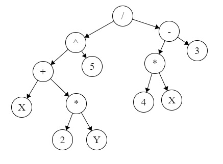
Los árboles de expresiones son estructuras de datos que definen código. Se basan en las mismas estructuras que usa un compilador para analizar el código y generar el resultado compilado. Los árboles binarios se utilizan para almacenar expresiones aritméticas en memoria, esencialmente en compiladores de lenguajes de programación. Una expresión es una secuencia de tokens (componentes de léxicos que siguen unas reglas establecidas). Un token puede ser un operando o bien un operador. Los paréntesis no se almacenan en el árbol pero están implicados en la forma del árbol. Un árbol de expresión es un árbol binario con las siguientes propiedades: 1. Cada hoja es un operando. 2. Los nodos raíz y los nodos internos son operadores. 3. Los subárboles son subexpresiones cuyo nodo raíz es un operador. Los árboles binarios se utilizan para representar expresiones en memoria, esencialmente en compiladores de lenguajes de programación. Se observa que los paréntesis ...
Comentarios
Publicar un comentario